Муниципальное общеобразовательное учреждение
Кочергинская средняя общеобразовательная школа № 19
Исследовательская краеведческая работа
в номинации «История семьи»
Участник конкурса:
Картавая Татьяна
Педагог – научный руководитель
Новосельцева Валентина Николаевна
Кочергино
2009
Введение
Исследовательская работа:
1. История поселения семьи Кореньковых в Красноярском крае
2. Трофим Иванович Кореньков
3. Василий Трофимович Кореньков
4. Фёдор Васильевич Кореньков
5. Мария Трофимовна Коренькова (Кочуева)
6. Николай Васильевич Кочуев
Заключение
Перечень приложений
Приложения
Источники информации
Перечень архивных документов
Лист самооценки исследователя
Уже несколько поколений выросло после окончания Великой Отечественной войны, победа в которой обошлась нашему народу дорогой ценой. Всё меньше остаётся среди нас тех, кто воевал на фронтах, трудился в тылу. К сожалению, о многих и многих из них, достойных уважения и восхищения, так и не рассказано, не написано. В этом вижу актуальность своей работы.
Нет в России семьи такой,-
Где б ни памятен был свой герой.
И глаза молодых солдат
С фотографий увядших глядят.
Этот взгляд, словно высший суд,
Для ребят, что сейчас растут.
Не обошла стороной Великая Отечественная война и мою семью. Мне хочется рассказать о родственниках с маминой стороны – Кореньковых – Кочуевых. Представители этих фамилий не стали известными на всю страну, не совершили героического подвига, но они честно воевали на фронтах и трудились в тылу, приближая победу.
Целью работы является исследование и описание жизненного и боевого пути моих родственников из семей Кореньковых – Кочуевых.
Задачи исследования:
1. Собрать и систематизировать имеющиеся сведения о времени и причинах поселения
моих предков в Красноярском крае.
2. Выявить и проанализировать информацию об участии в Великой Отечественной
войне представителей семей Кореньковых – Кочуевых.
3. Описать послевоенные годы жизни фронтовиков.
Методы исследования:
1. Анализ архивных материалов, в том числе и семейных реликвий.
2. Метод краеведческого поиска.
3. Интервьюирование родственников фронтовиков из семей Кореньковых – Кочуевых.
Сибирь. Далёкий, заманчивый, таинственный и богатейший край всегда манил к себе людей. «А хорошая сторона – Сибирь! Золотая сторона! Кто в силе да в разуме, тому там – как огурцу в парнике», - говорит Лука Пеплу в пьесе М. Горького «На дне». И действительно, многих привлекает наша Сибирь-матушка, и они приезжают сюда в поисках лучшей доли. Вот и моим предкам сибирский край стал родным. Так в далёкий тысяча девятьсот двадцать пятый год в июне месяце семья Бебишева Александра Фёдоровича приехала в Сибирь, Красноярский край.
Из воспоминаний внучки Александра Фёдоровича Марии Трофимовны я узнала, что «давным-давно Александр Фёдорович жил со своей семьёй в Мордовии в селе Зубова Поляна. Он был человеком, про которого говорили, что у него золотые руки. Он умел буквально всё: плотничать, столярничать, сам собрал шерстобитку и сортовку». Но у этого человека была заветная мечта – иметь свою землю и обзавестись своим хозяйством. До революции и после неё в Мордовии семье жилось плохо. Землю выделяли только мужчине. И вот Александр Фёдорович выдаёт дочь Федосью замуж в соседнее село Булдыгино за Коренькова Трофима Ивановича. Как я уже говорила, жилось бедно этим семьям, несмотря на то, что они не были ленивыми. Четыре раза в году семья ела пшеничный хлеб: в Рождество, Масленицу, Пасху, Троицу, а в остальные дни - ржаной. И вот семьи Бебишевых и Кореньковых поехали в Сибирь в 1925 году. Сначала они приехали в теперешний Краснотуранский район, а потом переехали в Курагинский в деревню Тагашет. Там не только красивая природа, но и плодородные земли и хорошие выпаса. Не получилось у Бебишева А. Ф. со своим хозяйством. А его зятю Трофиму и дочери пришлось работать у единоличников по найму, чтобы прокормить детей.
В Тагашете в 1922 году организована была коммуна, которая располагалась на острове возле реки Старая Сушь. Земли коммуны были на Пролетарке (так называлась земля, принадлежащая коммунарам, до сих пор осталось это название пашни) возле Коммунарских гор. Работать сообща им не хотелось, и вскоре коммуна распалась. Колхоз в Тагашете образовался в 1930 году. В 1931 году Трофим Иванович и Федосья Александровна вступили в колхоз «Красный Тагашет». Семья обосновалась в небольшой избушке рядом с кошарой, где и стали они работать. Ухаживали за овцами, кормили, поили, пасли, убирали в кошаре. Одежда была домотканая: рубахи, штаны, понитки (это верхняя зимняя одежда, но всё равно холодная), а на ногах ботинки. Зимой ходили дети в школу в такой одежде. Сильно мёрзли ребятишки, пока добегали до школы. В 1939 году Трофима Ивановича назначили председателем колхоза. Он был хорошим председателем, но считал, что грамоты у него маловато для такой высокой должности и через год попросил его переизбрать.
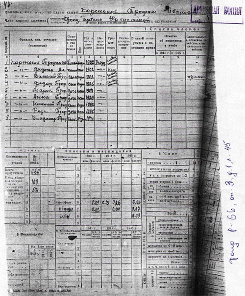
Василий, старший сын Трофима Ивановича, работал до войны учётчиком тракторного отряда, а также на колеснике трактористом. Фёдор, 1925 года рождения, тоже трудился в колхозе разнорабочим. Из Похозяйственной книги я узнала, что семья Коренькова Трофима состояла из девяти человек: родители и семеро детей (Приложение 1). В тысяча девятьсот тридцать седьмом году они купили себе дом. Он и поныне цел. Правда, в нём не живут его бывшие хозяева. Никого в Тагашете не осталось из огромной семьи Кореньковых.
Началась война. В августе 1941 Трофима Ивановича забирают на войну, но из-за того, что он мордва, в ноябре месяце возвращается. Потом каждый месяц приходила повестка, по которой он ездил в районный центр Курагино, но возвращался домой. Вновь мобилизуют в январе 1942 года. Он пробыл в Ачинске месяц. Оттуда отправили в Московскую область в город Подольск, где заболел и лежал в больнице. Выздоровев, попадает на фронт под Сталинград. Служит заряжающим пулемётного расчёта. Воевать ему довелось вместе со своим земляком Курчатовым Иваном Архиповичем. Впоследствии семья узнала от Курчатова, что снаряд попал в их расчёт. Курчатова ранило в живот, а семья Трофима Ивановича в декабре 1942 года получила бумагу, в которой сообщалось, что Кореньков Т. И. попал без вести 23 сентября 1942 года. Трофима Ивановича не нашли ни живого, ни мёртвого. К сожалению, этот документ не сохранился. После окончания Великой Отечественной войны семья подавала в розыск, но поиски ничего не дали. На мой запрос в Курагинский райвоенкомат пришёл ответ, что сведениями о Коренькове Т. И. 1902 года рождения они не располагают. Больше семья о нём ничего не узнала. А ведь было ему в то время всего тридцать девять лет. В селе Брагино (Тагашет принадлежит сельскому совету этого населённого пункта) есть памятник погибшим в годы Великой Отечественной. На нём увековечено имя Коренькова Т. И. Есть о нём очень краткие сведения в книге Памяти, но они не совпадают с рассказом родных. Там написано, что призван в ноябре 1942, а пропал без вести в декабре 1942. Когда я прочитала родным эту запись, они возмутились, потому что хорошо помнят, когда получали письмо от него, что он лежал в больнице перед отправкой на фронт и когда получали письмо о том, что пропал без вести. И пусть мало он воевал, но всё равно внёс свою лепту в победу над фашистами. Ведь уже в декабре наши войска разбили самую сильную арию фашистов под Сталинградом.
Как рассказал мне брат Василия Трофимовича, Николай Трофимович (они часто общались при жизни Василия), Василия забрали на войну после того, как закончилась уборка зерна. «В декабре 1941 года Василия забирают в Абакан, где формировалась Пирятинская дивизия. В апреле 1942 года после обучения отправляют на Воронежский фронт (так он тогда назывался, а потом в 1943 году получил название Степной). Воевал Василий Кореньков миномётчиком. Однажды ночью ему пришлось переплавлять на лодке через Дон командира батареи (к сожалению, фамилии не помнит). Ночевать остались на берегу реки в блиндаже. Утром внезапно началась стрельба. Василий получил ранение с повреждением глаза и совсем потерял зрение. Это подтверждается свидетельством об освобождении от воинской обязанности за № 672 от 11 июля 1943 года. (Приказ НКО СССР 1942 года № 336) (Приложение 2). Ранение получил на Дону на станции Лиски. После госпиталя Василий Трофимович вернулся домой. Один глаз у него совсем вытек, а второй остался целым, но незрячим. Вернувшись слепым, но физически здоровы и красивым, он стал работать в колхозе: таскал мешки с зерном. Высокого роста, слепой, таская тяжёлые мешки в амбар, он постоянно ударялся головой о низкую притолоку двери. Из воспоминаний дочери Василия Трофимовича: «Восьмого мая тысяча девятьсот сорок пятого года Василий Трофимович женится на Степаниде Терентьевне Кононовой, которая стала и его женой, и поводырём. Василий Трофимович никогда не был иждивенцем. Он работал не только в колхозе, но и по дому: давал скоту корм, выносил свиньям, колол дрова, косил и метал сено. Он хорошо ориентировался в доме из двух комнат, в сенях, на крыльце и в ограде» (Приложение 3).
В январе 1948 года ему назначили пенсию как инвалиду и участнику Великой Отечественной войны в размере 250 рублей, о чём свидетельствует пенсионное удостоверение инвалида Великой Отечественной войны за № 280, датированное 17 февраля 1951 года. Живя в деревне Тагашет, Василий Трофимович работал. Около его дома стоял станок, на котором он вместе с женой изготовлял верёвки и канаты. Перед работой Степанида Терентьевна возьмёт его за руку, покажет его рукам, где что лежит, и Василий Трофимович всё делал как надо. За тем, чтобы слепой фронтовик не отлынивал от работы, неусыпно следил председатель колхоза Дмитрий Рязанцев.
В шестидесятые годы семья переезжает в город Минусинск. Здесь вступает он во Всесоюзное общество слепых. Он с удовольствием слушал тексты книг, которые приносили ему на магнитофонных лентах из общества слепых. У Василия Трофимовича двое детей. Дочь Анна окончила Ачинский сельскохозяйственный техникум и до пенсии преподавала в Минусинской школе бухгалтеров бухучёт, а сын Фёдор после окончания Минусинского сельскохозяйственного техникума, отслужив армию, работал долгие годы главным инженером на предприятии «Сельхозэнерго». Достойных детей вырастили и воспитали Василий Трофимович с женой (Приложение 4).
«Помню, в детстве тятя подзывал нас к себе и руками ощупывал лицо, голову, руки, туловище. Так он узнавал, как мы выросли. Тяте так хотелось видеть, что он соглашался на операции. Оперировали его четыре раза и всё безрезультатно. В 1961 году в Минусинск приезжала знаменитый окулист Дозорова Нина Степановна. Осмотрев отца, она сказала мне, что если бы его ранее не оперировали, в данный момент она бы смогла вернуть зрение глазу. Она доступно объяснила, что было нарушено в результате предыдущих операций». Трудно даже представить себе, как живут слепые.
Когда умерла Степанида Терентьевна, за отцом стала ухаживать дочь Анна. Василий Трофимович, по единодушному мнению всех многочисленных родственников, был удивительно добрым человеком. Никогда ни на что не жаловался и не капризничал. Когда у него случился инфаркт, его увезли в Минусинскую ЦРБ. Лежал он в общей палате. Врачи, медсёстры и санитары удивлялись, что он, слепой, инвалид Великой Отечественной войны не требовал к себе особого внимания, в то время как другие больные устраивали даже скандалы.
Одним словом, не успел Василий Трофимович совершить героический подвиг на войне. Ему просто не повезло с ранением, после которого он перестал видеть свет. У него нет высоких наград за ратный подвиг. В 1946 году получил медаль за победу над Германией и есть юбилейные медали, которые вручены заслуженно: ведь на фронте он потерял зрение. Василий Трофимович остался добрым и трудолюбивым человеком. Несмотря на ранение, он старался жить полноценной жизнью, трудился. Он давно уже умер, но все его родные помнят и чтут. Не зря Василий Трофимович жил на этом свете. Хочется перефразировать одно крылатое выражение: «Доброта спасёт мир».
Фёдор Трофимович Кореньков родился в январе тысяча девятьсот двадцать пятого года. Его младенцем привезли в далёкую Сибирь. Здесь он вырос. Начал работать в колхозе. Отсюда его в октябре тысяча девятьсот сорок второго года призывают в Красную Армию. Несколько месяцев на станции Бердск Новосибирской области обучается молодой боец военному искусству, а в марте отправляют на фронт. Рядовой Фёдор Кореньков воевал на Центральном фронте в воинской части 228-й стрелковой дивизии 78-го стрелкового полка, которая в то время находилась в городе Кобыляки на Украине. Когда жив был Фёдор Трофимович, он кое-что рассказывал своему брату Николаю, у которого я и узнала эти скупые сведения: «Шли в контрнаступление, освобождали станцию Табуряки, что находилась в двадцати пяти километрах от Днепра. Попал под перекрёстный огонь. Арбатский Владимир, связной при командире роты, перевязал, и я пополз к санчасти. Руками поймаюсь за траву, подтянусь чуть-чуть. Сил не было. Полз всю ночь, а расстояние несколько сот метров. Подобрали санитары и принесли в медсанбат. Около месяца лежал в городе Кобыляки, потом отправили в город Полтаву. Там пробыл около восьми месяцев».
Из свидетельства болезни № 279, которую мне удалось разыскать в Курагинском пенсионном фонде (большое спасибо за содействие Осиповой Надежде Христиановне), я узнала, что рядовой Кореньков Ф. Т. ранен шестнадцатого октября тысяча девятьсот сорок третьего года пулей в правую половину живота, в правую ягодицу и левое бедро. Пуля застряла возле позвоночника. «Операции не подлежит»,- написала профессор медицины, лечившая в госпитале Полтавы Фёдора Трофимовича. У него было травматическое повреждение седалищного нерва. Во время операции могли повредить по неосторожности нерв, и боец стал бы неподвижным. Ему было всего девятнадцать лет. Из истории болезни ясно, что раненому произведено иссечение ран 16 октября 1943 года в 45 медсанбате ХППГ 869, 21 октября 1943мгода, 24 октября 1943 577 ХППГ, 30 ноября ЭГ 3147, 5 апреля 1944 ЭГ3394, а затем он находился на излечении в ЭГ 3394, где ему делали перевязки. При жизни Фёдор Трофимович вспоминал: «Нагноится рана, положат меня в солёную ванну, гной выйдет – рана затянется». В июле 1944 его выписывают из госпиталя, дают справку № 26 эвакогоспиталя об освобождении от службы в армии, и он приезжает домой, в деревню Тагашет (Приложение 5). Несмотря на то, что он являлся инвалидом Великой Отечественной войны, начинает трудиться в колхозе «Красный Тагашет» рядовым колхозником. Об этом свидетельствует справка № 579. С пулей у позвоночника Фёдор Трофимович ходит до 1964 года, её удалили в Красноярском военном госпитале. В 1949 году Фёдор Трофимович женится на Дауровой Марии (Приложение 6).У них выросло трое детей: две дочери и сын, которых он вместе с женой вырастил, дал образование. После войны умирает мать, Федосья Александровна в возрасте сорока пяти лет. Её здоровье подорвано тяжёлой работой во время войны, потерей мужа, переживанием по случаю тяжёлых ранений сыновей. Фёдор Трофимович ещё воспитывал младшего брата Владимира 1940 года рождения. Разные специальности освоил Фёдор Трофимович: кузнец, мельник, умел хорошо катать валенки и класть печи, делал оконные рамы. В семидесятые годы переезжает в посёлок Курагино. Он устраивается на молокозавод вахтёром. Вскоре его начинает беспокоить раненая нога, а сахарный диабет сделал своё чёрное дело – началась гангрена ноги. Ему ампутируют ногу. Он становится совсем нетрудоспособным и очень переживает. Ведь он, будучи ходячим, помогал детям. Своим дочерям выстроил дома. Вернее тяжёлую работу не мог выполнять, но давал консультации строителям. А вот столярные работы делал сам, потому что умел это хорошо делать.
Его сейчас нет, а творение его рук напоминают детям о нём. Так что и Фёдор Трофимович прожил на этой земле не зря: построил два дома, вырастил сына и посадил сад. Фёдор Трофимович не совершил подвига, но он честно сражался с врагом на войне. К великому сожалению, семейного архива после его смерти не сохранилось, поэтому не обо всём можно рассказать.
Если Трофим Иванович и его сыновья - Василий и Фёдор - воевали на фронтах Великой Отечественной войны, то старшая дочь Мария, тысяча девятьсот двадцать седьмого года рождения вовсю работала в колхозе в годы войны. Ей всего было четырнадцать лет. У Федосьи Александровны было больное сердце, она часто болела. И вот Мария сначала выходила за неё работать.
В глубоком тылу не бомбили.
В тылу не стреляли.
В тылу каждый день на войну провожали.
Потом получали на них похоронки.
И стоны, и слёзы в родимой сторонке.
Рыдай не рыдай, а работать – то надо.
Но всё понимали, что временны беды,
Что это для фронта, что всё для победы.
И денно, и нощно безмерно трудились,
И вместе с солдатами мы победили.
Мария Трофимовна вспоминает: «В войну трудно было. Работать начала с четырнадцати лет. Хлеба не видели, можно сказать. Его давали по четыреста граммов только тем, кто работал. Картошка как назло родилась мелкой и плохой, потому что садили картофельные глазки, а серединку оставляли на еду. Её часто не хватало до нового урожая. Детей нас оставалось пятеро. Весной и летом ели траву: лебеду, макыр. Когда была картошка, то пекли оладьи, которые считались лакомством. Младший брат чуть не умер от голода. Живот распух, кое-как отпоили молоком. Работала я на пашне, потом была свинаркой, телятницей, дояркой. Работала наравне с взрослыми женщинами. Зимой приходилось возить слому с поля для овец. Холодно. Пока доедем с Октябриной Прохоровой до поля, замёрзнем. Октябрина достанет спички (где-то её мать доставала) и разожжём костёрчик из соломы. Согреем черенки вил, руки, и начнём накладывать солому на сани. По два раза в день ездили. А привезём на кошару, ещё и смечем в стожок. Приходилось зимой цепями молотить горох и коноплю, а потом крутить ручку клейтона, чтобы провеять то, что намолочено. Возила из Курагино горючее в бочке в МТС. Поездка занимала двое суток. У меня мерин был худой от голода, старый, еле – еле шёл. Когда привезём (с Пастуховой Анной ездили), сдадим бочки в Брагинскую МТС, ещё надо домой добираться двенадцать километров. Лошадь не идёт, так я её под уздцы веду всю дорогу, боюсь, что она по дороге упадёт». Так и работала Мария Трофимовна в колхозе. Кем только ей не приходилось работать: дояркой, свинаркой, на полевых работах (косила сено и метала его вручную, садила и ухаживала за табачной плантацией, вязала снопы конопли). В 1948 году вышла замуж за Кочуева Николая Васильевича. Родила четверых детей. Однако постоянно работала, а дети с двухмесячного возраста были в колхозных яслях. Вставать приходилось в четыре утра, чтобы постирать, приготовить еду, а к восьми утра на колхозную работу. В своём огороде копала картофель по вечерам и при лунном свете часов до одиннадцати, потому что нельзя было не выйти на колхозную работу. Мария Трофимовна вспоминает, что держали большое подсобное хозяйство, без которого в деревне не прожить, и нужно было государству сдавать яйца, шкуры свиные, овечьи, молоко. На каждую семью был план. Однажды они с мужем в лесу нашли полянку и выкосили, сметали, но сено забрали в колхоз, так что корову и овец они кормили соломой, которую разрешали за трудодни выписывать. Моя бабушка мне рассказывала, что с весны до осени вечерний удой от коровы её мама относила на молоканку. Отстояв очередь, пропускала через сепаратор молоко вручную, домой несла обрат. В ведре сверху была пена, и она пальчиком слизывала её. Ей казалось, что вкуснее пенки ничего нет.
За хорошую работу Мария Трофимовна получала благодарности, грамоты и премии (Приложение 7). Но это уже было тогда, когда колхоз преобразовали в одно из отделений Брагинского зерносовхоза. Об этом свидетельствуют записи в трудовой книжке. Последние годы она мазала и штукатурила дома. Работа была тяжёлой, потому что глину месили ногами, всё делали вручную. У неё стали болеть руки и ноги. В больнице поставили диагноз – полиартрит. Она, выйдя на пенсию, нянчилась с внуками, не сидела без дела. Сейчас ей восемьдесят два года. Все её любим и уважаем. Она хорошая мать и замечательная бабушка (Приложение 7).
А сейчас я ещё хочу рассказать о своём прадедушке, участнике Великой Отечественной войны, прошедшем всю войну до Германии и участвовавшем в военных действиях на Дальнем Востоке в войне с Японией, Кочуеве Николае Васильевиче. Родился он в 1920 году 12 августа. 16 августа 1940 года его призвали на действительную службу в ряды Красной Армии. Началась война. Воевал Николай Васильевич на третьем Белорусском фронте (Приложение 8). С августа 1941 года по март 1942 служит в 5455-ом строительном батальоне 63 –ем гвардейском строительном полку сначала стрелком, потом командиром пулемётного отделения с марта 1942 по 1943 год. 14 января 1943 получает челюстное ранение и находится в эвакогоспитале на лечении в городе Горьком (Приложение 9). Если посмотреть послужной список в военном билете, то он был командиром взвода с 1943 по 1945 годы, а с мая 1945 года по январь 1947 года - заместителем командира взвода. Военная специальность Николая Васильевича – сапёр, помощник командира (из записи в военном билете) (Приложение 10).
Из воспоминаний старшей дочери Валентины: «Папа не любил рассказывать о войне. Однажды я пристала к нему с расспросами. Задумался, на глазах появились слёзы. Он поведал о таком случае: «Остановились однажды в замке польского города (бабушка не помнит название) на ночлег. Стены замка высокие, широкие, ворота крепкие – значит безопасно. Многие спали во дворе. Но ночью проснулись от стрельбы. Оказалось, что стреляли со стен замка. Я в тот раз не пострадал». А ещё говорил, что было страшно, когда разрывались снаряды и летели осколки, от которых люди гибли. Как начнётся артобстрел, некуда скрыться от них, потому что ни окопов, ни укрытий. Тогда закрывались убитыми, чтобы не получить осколочные ранения. Как только становилось тише, бежали вперёд. Прадедушке приходилось подолгу находиться в воде, если нужно наводить переправу через реки и болота. Из рассказа сына прадедушки Николая Николаевича (которому он при жизни кое-что рассказывал), я узнала, что это было в Восточной Пруссии. «Дул холодный ветер. Лежим в болоте. Спина мёрзнет от ветра, а тело в воде ледяной. Голову поднять не можем, потому что стрельба такая сильная. Потом у меня на простуженных ногах было сорок гнойников». У прадедушки были боевые награды, но они затерялись. Моя бабушка говорила, что маленькими детьми они ими играли. Помнит она, что одна называлась «За взятие Кенигсберга», но документов, удостоверяющих, что награды были, не сохранились. В военном билете записано о получении только медали за победу над Германией и за победу над Японией. Дело в том, что прадед, дойдя до Берлина, был отправлен в числе других в эшелоне на Дальний Восток на Маньчжурскую границу. Вернулся он в январе 1947 года (Приложение 11).
Прадед, по словам бабушки, был человек с юмором. Когда он лежал в Горьком в госпитале, то лечащему врачу говорил, что «пока курилку на место не поставите, буду у вас лежать». В результате пулевого ранения челюсть у него была свёрнута набок. После войны работал в колхозе «Красный Тагашет» рядовым колхозником, потом бригадиром. Трудовой стаж его в колхозе составил более 22 лет. Потом колхоз присоединили к Брагинскому зерносовхозу. Николай Васильевич принят был плотником в третье отделение. Начиная с шестидесятых годов, он со своей бригадой строит коровники, жилые дома в Тагашете и Брагино, сельский клуб в родной деревне (Приложение 12). Прадедушка возглавлял бригаду плотников. В бригаде у него были и молодые ребята, которые уважали его и слушались. Николай Васильевич был человеком трудолюбивым, честным и добросовестным, поэтому ценил эти качества в людях. Много домов, которые он построил, ещё «живы» и сейчас. Это своеобразная память о нём. А главное, он вместе с женой воспитал сына и три дочери, за которых им никогда не было стыдно. Все они достойные и очень трудолюбивые люди, как и их родители. И пусть мой прадед не совершил героического подвига в годы Великой Отечественной войны, но он испытал все её тяготы, достойно воевал, как миллионы людей, за освобождение нашей Родины от фашистских захватчиков.
В результате проведённых исследований удалось собрать интересный материал о жизни и трудовой послевоенной деятельности моих родственников, систематизировать его. Среди моих предков есть участники Великой Отечественной войны и работники тыла. В ходе работы ознакомилась с архивными документами, подтверждающими участие моих родственников в Великой Отечественной войне. Из семьи Кореньковых ушло на фронт трое. Отец, Трофим Иванович, пропал без вести, оба его сына Василий и Фёдор, воевали, получили тяжёлые ранения и остались инвалидами. После войны Василий и Фёдор честно трудились, а трудовая деятельность их сестры Марии началась в военные годы, когда она была ещё подростком. Муж Марии, Кочуев Николай, так же участник Великой Отечественной войны.
Моё исследование не закончено. Появилось желание написать в архив Мордовии, чтобы найти родственников. У Бебишевых и Кореньковых в Мордовии оставались родственники, вероятно, среди них есть участники войны. Хочу попробовать выяснить судьбу без вести пропавшего Коренькова Трофима Ивановича. Для этого планирую обратиться в архивный отдел музея боевой славы города Волгограда.
Считаю, что поставленной цели по сбору и систематизации материала достигла.
1. Страница Похозяйственной книги сельхозартели «Красный Тагашет».
2. Справка о ранении Коренькова Василия Трофимовича, 1942 г. Свидетельство № 672
об освобождении от воинской обязанности Коренькова Василия Трофимовича, 1943 г.
3. Кореньков Василий Трофимович с дочерью Аней, 31. 12. 1952 г. с женой
Степанидой Терентьевной, май 1945 г., д. Тагашет. Фото Бебишева В.З.
4. Семейная фотография. Трофимович, зять Петряев Алексей, дочь Анна. Фотоателье
г. Минусинска, 1980 г.
5. Справка о ранении Коренькова Фёдора Трофимовича, 1944 г. Справка № 577, 1946
г.
6. Кореньков Фёдор Трофимович с женой Марией, д. Тагашет, апрель 1949 г.
7. Фотография Кочуевой Марии Трофимовны. Страницы трудовой книжки Кочуевой М.Т.
8. Фотография Кочуева Николая Васильевича с другом, 1945 г. Фотограф не
установлен.
9. Справка о ранении Кочуева Н.В., 1943 г.
10. Учётно – послужная карточка Кочуева Н.В.
11. Страницы военного билета Кочуева Н.В. с зкаписью о наградах.
12. Кочуев Н.В. на строительстве здания клуба в деревне Тагашет.
Фотография с супругой Кочуевой М.Т.
Архивные источники
1. Похозяйственная книга деревни Тагашет. Фонд Р-66, оп. 3, д. 1, л. 45
2. Копия истории болезни из личного дела Коренькова Ф. Т. пенсионного фонда п.
Курагино.
3. Семейные архивы Кочуевой М. Т., Петряевой А. В., Коренькова Ф.Т.
Информаторы
1. Кореньков Николай Трофимович, 1927 года рождения, проживающий в селе
Кочергино.
2. Кочуева Мария Трофимовна, 1927 года рождения, проживающая в п. Курагино.
3. Петряева Анна Васильевна, 1949 года рождения, проживающая в Г. Минусинске.
4. Новосельцева Валентина Николаевна, 1949 года рождения, проживающая в селе
Кочергино.

Страница Похозяйственой книги сельхозартели «Красный Тагашет».

Справка о ранении Коренькова Василия Трофимовича, 1942 г.

Свидетельство № 672 об освобождении от воинской обязанности
Коренькова
Василия Трофимовича, 1943 г.

Кореньков Василий Трофимович с дочерью Аней, 31. 12. 1952 г., фото Бебишева
В.З.

С женой Степанидой Терентьевной, май 1945 г., д. Тагашет. Фото Бебишева В.З.

Коренькова Степанида Терентьевна, внук Миша, Кореньков Василий Трофимович,
зять Петряев Алексей, дочь Анна. Фотоателье г. Минусинска, 1980 г.

Справка о ранении Коренькова Фёдора Трофимовича, 1944 г.

Справка № 577, 1946 г.

Кореньков Фёдор Трофимович с женой Марией, д. Тагашет, апрель 1949 г.

Кочуева Мария Трофимовна

Страницы трудовой книжки Кочуевой М.Т.

Слева Кочуев Николай Васильевич, справа его друг Задворнин Степан Иванович,
1945 г. Фотограф не установлен.

Обратная сторона фотографии, подписана Кочуевым Н.В.


Справка о ранении Кочуева Н.В., 1943 г.


Учётно – послужная карточка Кочуева Н.В.

Страница военного билета Кочуева Н.В. с записью о наградах.

На строительстве здания клуба в деревне Тагашет.
Кочуев Н.В. – слева. Фото Бебишева В.З., июнь 1962 г.

Николай Васильевич и Мария Трофимовна Кочуевы.
Фото Бебишев В.З., 1955 г.
Моё исследование не закончено. Появилось желание написать в архив Мордовии, чтобы найти родственников. У Бебишевых и Кореньковых в Мордовии оставались родственники, вероятно, среди них есть участники войны. Хочу попробовать выяснить судьбу без вести пропавшего Коренькова Трофима Ивановича. Для этого планирую обратиться в архивный отдел музея боевой славы города Волгограда.
/ Наша работа/Всероссийский конкурс исторических работ старшеклассников «Человек в истории. Россия XX век»