С массовым притоком рабочей силы в лице заключенных на Енисейский север встает вопрос о соответствии прибывающего контингента требованиям региона. Основное из них — наличие среди этапируемых максимально полноценной рабочей силы, способной адаптироваться к условиям Заполярья, которые нельзя было игнорировать: резкое изменчивое давление на небольших отрезках времени, огромной скорости ветра, сопряженные в большинстве случаев с пургами, низкие температуры, высокая влажность воздуха летней тундры, сырость почвы, наличие вечной мерзлоты, долгая полярная ночь. Зачастую на месте прибытия не производилось разделения заключенных на группы (категории) трудоспособности, что затрудняло их трудоиспользование и снижало эффективность производственного процесса. До начала 1940 годов часты случаи возврата зарезервированных этапов заключенных в силу несоответствия их требованиям Заполярья. Процент отсева варьируется от 5 до 40% по разным лагерям. Основанием в большинстве случаев служили медико-санитарные противопоказания. Управление Норильского исправительно-трудового лагеря(далее НИТЛ) вынуждено было посылать своих представителей в те лагеря и пересыльные тюрьмы, где предусматривался набор заключенных для Норильлага. Для отбора и направления контингента по правилам, изложенным в приказе НКВД СССР от 22 мая 1940 года №0203 с учетом особых условий работы на Крайнем Севере вводятся следующие положения:
- медицинский отбор заключенных производит комиссия из врачей под председательством начальника санитарного отдела (в необходимых случаях привлекаются к участию специалисты- врачи ОИТК (отдела исправительно-трудовых колоний) края или крайздравотдела;
- направлению в Норильлаг подлежат заключенные специалисты из административно-технического персонала, годные к легкому физическому труду;
- запрещается прием заключенных с заболеваниями (список из 44 наименований), наличие которых не позволит использовать их как полноценную рабочую силу в связи с суровыми условиями климата и неблагоприятным влиянием его на течение указанных ниже заболеваний;
- не подлежат этапированию заключенные в возрасте свыше 50-ти и моложе 20-ти лет, женщины всех возрастов, больные с органическими заболеваниями сердечно-сосудистой системы в стадии компенсации, туберкулезом легких в компенсационном состоянии при наличие упадка питания, хроническими заболеваниями мочеполовых органов, цингой 1-ой степени, хроническими заболеваниями суставов, при отсутствии зрения на один глаз и с поражением костей, мышц и сухожилий верхних и нижних конечностей, препятствующих работе.
Регулярные перевозки заключенных должны были осуществляться на переоборудованных баржах — с дополнительными уборными, кухнями, кипятильнями, помещением для ВОХР, амбулаторией и двухярусными нарами. В пути перевозимый контингент должен обеспечиваться кипятком и горячим питанием. Инструкция ГУЛАГа №10 и приказ начальника лагеря №032 от 1952 года регламентировали процедуру приема заключенных как в ИТЛ, так и в Особый лагерь №2:
а) производится сверка личности с основным документом;
б) фиксируется общее количество прибывших по эшелонным спискам;
в) составляется акт о приеме заключенных в 4-х экземплярах — для ГУЛАГа, Специального отдела Управления Горного лагеря, конвоя и лагеря-отправителя (с приложением инструкции). Далее производится сверка наличия прибывших квалифицированных рабочих с разбивкой по специальности. Заполняются карточки по форме 1, 2, 3, 4 и 4б и формуляры. В необходимых случаях прибывшие проводятся через карантин и определяются в соответствующие (с учетом производственного профиля) лагерные отделения.
Приемная комиссия в своей работе должна была руководствоваться приказами НКВД № 0203 1940 года, №0249 и 0287 1941 года, а также указаниями ГУЛАГа за №42/62880 1944 года. Для определения физической годности заключенных необходимо было использовать приложение №12 приказа НКВД №0249 1941 года.
Имеющиеся факты свидетельствуют, что зачастую указанные правила и инструкции нарушались (к примеру, этап прибывших 13 июня 1946 года из Иркутской пересыльной тюрьмы на 56% оказался негоден, доставленные 16 июля на 100% не соответствовали предъявляемым требованиям). Причины — постоянная нехватка рабочей силы при форсированном строительстве, стремление выполнить в срок поставленные задачи при максимально интенсивном трудоиспользовании имеющегося контингента заключенных (что резко снижало физическое состояние заключенных и увеличивало производственный травматизм с летальным исходом).
С отбором, перевозкой и приемом осужденных и уже отбывающих срок заключения напрямую связан уровень смертности заключенных (слабосильные, инвалиды, по каким-либо причинам этапированные в НИТЛ и Особый лагерь №2, составляли большой процент умерших по болезни).
Сбором данных о смертности в местах лишения свободы в ГУЛАГе занимались две независимые друг от друга структуры: санитарный отдел (САНО) и отдел учета и распределения заключенных (УРО), в 1947 году переименованный в спецотдел 2 управления ГУЛАГа. В САНО от санитарных органов ИТЛ и управлений исправительно-трудовых лагерей и колоний (УИТЛК) или отделов исправительно-трудовых колоний (ОИТК) в регионах поступала ежемесячная отчетность о количестве заболевших и умерших, числе потерянных рабочих человеко-дней, наличии эпидемических заболеваний, а так же об основных причинах смертности. Отвечая за санитарное состояние мест заключения и уровень смертности заключенных, САНО был заинтересован как в фактическом снижении смертности, так и в том, чтобы не включать в отчетность случаи смертей, не зависящих от уровня санитарии. Поэтому убитые в результате “бандитских проявлений”, при попытке к бегству статистикой САНО не учитывались. Отделы учета и распределения заключенных в центре и на периферии в своей статистике, поступающей от частей учета и распределения заключенных (УРЧ) лагерей и колоний, отражали все случаи снятия с учета со смертью, независимо от ее причин, в том числе и убитых. При этом официальной статистикой смертности считались именно сведения санитарного отдела, именно они приводились в докладных записках и сообщениях руководству как НКВД-МВД, так и страны.
Уровень смертности в местах лишения свободы рассчитывался по различным методикам. До 1943 года число умерших за год соотносилось со среднесписочным составом заключенных за год. С 1943 по 1952 годы уровень смертности исчислялся как отношение суммы умерших за каждый месяц к сумме среднемесячных численностей. С этого времени статистика смертности приводилась, как правило, не в абсолютных цифрах, а в процентах. Коэффициент смертности представлял соотношение числа умерших на одну тысячу человек.
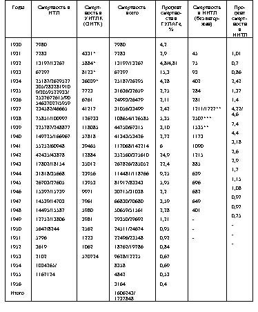
В таблице5 сведены в хронологическом порядке данные о смертности в ИТЛ и ИТК в абсолютных величинах, общее число умерших в ГУЛАГе и процент (уровень) смертности по данным САНО. В числителе даются данные САНО, в знаменателе — данные УРО. Смертность в исправительно-трудовых колониях (в отличие от ИТЛ) учитывалось УРО только с 1943 года (данные за предшествующее время сохранились только на 1939 год). Поскольку сведения УРО по колониям отрывочны и незначительно отличаются от данных санитарного отдела, они в таблице не приведены. На основании имеющихся в распоряжении автора данных приведено общее количество умерших в НИТЛ и Особом лагере №2, а также процент смертности по годам.

Составлено по:
* — включая подведомственные ГУЛАГу тюрьмы,
** — А.Кокурин, Ю.Моруков. ГУЛАГ: структура и кадры//Свободная мысль.– 2000 — №8 с.111; №10-2000- с.114-115.
*** — Архив УВД Красноярского края, отдел спецфондов, ф.р. — 11 с, оп 1 с, д. 104, л.1-30
Причины смерти лагерников: различные заболевания, иногда принимавшие характер эпидемий; использование заключенных, ослабленных и слабосильных на тяжелых работах при экстремальных природно-климатических условиях; производственный травматизм (несовершенство или отсутствие необходимой техники и материальной базы); применение высшей меры наказания (далее — ВМН) по приговору Таймырского окружного суда; внутрилагерный бандитизм.
К концу 1938 года количество умерших по НИТЛ — 123 человека, Смертей, обусловленных заболеваниями, за почти трехлетний период существования лагеря — 846. Почти половина всех смертей в лагерях, как и в НИТЛ, в 1938 году — следствие следующих заболеваний: острые желудочно-кишечные заболевания — 20,3%, туберкулез — 12,8, пеллагра (авитаминоз) — 9,2; истощение — 5,1%; доля смертей от производственного травматизма не превышала 1%.7 Вне лечучреждений Норильстроя за это же время зарегистрировано 36 летальных исходов. Уровень смертности как среди заключенных, так и среди вольнонаемных был примерно одинаков. Заболевания, часто принимавшие характер эпидемии и впоследствии давали наибольший процент смертности (к примеру, в 1947 году из 1218 случаев смерти среди заключенных и 486 среди каторжан, умерших от дизентерии, дистрофии (истощения), легочных заболеваний, брюшного тифа и прочих болезней зафиксировано 1492 человека). Как и ранее, сложившееся положение объяснялось прибытием большого количества ослабленных заключенных и использованием заключенных 3-й (льготной) категории труда, хотя и со снижением норм выработки, на тяжелых работах на открытом воздухе в зимний период. Каждый шестой заключенный/каторжанин в том же году скончался от полного физического истощения (течение болезни приобретало необратимый характер). За первый квартал 1951 года из 156 умерших 103 — скончавшиеся от различных болезней1.
Наиболее тяжелым периодом для контингента мест лишения свободы (как и для всего населения страны) стали годы Великой Отечественной войны. Резко увеличившиеся трудовые нагрузки, сокращение централизованного снабжения и как следствие — уменьшение продовольственного пайка, массовые переброски заключенных приводят к гигантскому росту смертности.
Самым трагичным в истории ГУЛАГа стал 1942 год, когда в лагерях и колониях умерло почти 376 тысяч человек (при среднегодовой численности заключенных в 1472393 человека, из них в ИТЛ — 248877, в ИТК — 126733) -абсолютный максимум за всю историю мест лишения свободы. Уровень смертности в лагерях вырос с 6,47 процента в 1941 году до 22,69 процента (в 3,5 раза), а в колониях — с 7,06 до 33,75 процента (в 4,5 раза). В ИТЛ умер почти каждый четвертый, а в ИТК — каждый третий заключенный.
Самая низкая смертность в 1942 году наблюдалась в лагерях горно-металлургической промышленности (см. графу таблицы по НИТЛ). Тем не менее заметен рост смертности (в сравнении с 1941 годом) в 1942 году более чем в 3 раза, 1943 году — более чем в 5 раз. Всего в 1941-1945 годах, по данным УРО, в лагерях умерло 621667 человек, в колониях — 383181. Общая цифра умерших за годы войны составила 1 миллион 5 тысяч заключенных, или 58 процентов от числа умерших за все время существования ГУЛАГа. Это обусловило появление приказа начальника ГУЛАГа Наседкина, регламентирующего порядок погребения заключенных. Наряду с захоронением каждого тела в отдельности разрешалось погребение в общих могилах по несколько трупов вместе, при этом допускалось захоронение тел заключенных без гробов и белья.
За годы войны в НИТЛ умерло 7223 человека (0,01% от умерших за этот период по исправительно-трудовым лагерям). По данным САНО, основными причинами смерти в годы войны были пеллагра (авитаминоз) и дистрофия. Пеллагра в 1942-1943 годах стала причиной более половины всех смертей и даже в 1945-м давала 8,5 процента смертности. Причем в 1942-1943 годах по отдельным лагерям смертность от пеллагры достигала 90%. Примерно пятая часть всех умерших скончалась от дистрофии. От туберкулеза, воспаления легких и острых желудочно-кишечных заболеваний умирало примерно по 8%.
Основания для вынесения “расстрельного” приговора были таковы: членовредительство, саботаж, злостное нарушение внутрилагерного режима, групповые и одиночные побеги, лагерный бандитизм, участие в реальных или “разработанных” агентурой оперативно-чекистского отдела антисоветских, контрреволюционных организациях.
Данные по этой причине смертности неполны и фрагментарны. Все расстрелянные в лагерях, включая убитых при попытке к бегству и по другим причинам учитывались САНО ГУЛАГа как “умершие от болезней органов кровообращения”. В “Журнале регистрации умерших при Центральной больнице НИТЛ” за 1941-1948 годы неоднократно встречается подобная формулировка. Ко всему прочему, в данных по внебольничной смертности часто не указана причина смерти.
К расстрелу в равной мере приговаривались “враги народа” и “социально-близкие” (уголовные элементы). Массовые казни происходили на территории Норильского строительства в сентябре-октябре 1937 года (238 заключенных расстреляно) и феврале-апреле 1938 года (211 расстрелянных). В воспоминаниях норильчан упоминается общее количество казненных весной 1938 года — 500 человек12. В гулаговской статистике расстрелянные могли именоваться и как “прочая убыль”. Обстановка военного времени увеличивала число приговоренных к ВМН. По неполным данным за 1943 год — у более 1/5 умерших причиной смерти назван расстрел.
Производственный травматизм давал немалый процент смертности. За период с 1946-1947 по 1950-1951 годы травматизм с летальным исходом вырос с 1/8 до половины всех случаев смерти по Норильскому комбинату и ИТЛ. В 1952 году 66,6% смертности давал производственный и бытовой травматизм14. Впоследствии травматизм с летальным исходом доминировал среди причин смерти по Норильскому ИТЛ и Комбинату. Наиболее опасными производствами были горнорудное (особенно работа в угольных шахтах) и металлургия.
В послевоенное время наблюдается постепенное снижение уровня смертности как заключенных (см. таблицу), так и каторжан.
В организованном в 1948 году Особом лагере №2 также заметно уменьшение количества случаев смерти к началу 50-х годов. При этом уровень смертности в Горлаге был в течение 1948-1953 годов ниже среднего по Особым лагерям СССР. Всего за время существования Особого лагеря №2 в нем умерло 1140 человек.
Как и в НИТЛ, так и в самой системе заключения понижение уровня смертности связано с переменами в системе ГУЛАГа. Укрепление санитарной службы и более широкий охват как заключенных, так и вольнонаемного населения медицинскими услугами и контролем, переход на комплектование строительства и производства вольнонаемными кадрами при постепенном смягчении лагерного режима, адаптация населения к особенностям региона изменили общую картину смертности. К середине 1950-х годов основными задачами, требующими безотлагательного разрешения в этом направлении, являются снижение уровня производственного травматизма, в первую очередь со смертельными исходами и дальнейшая работа по улучшению эпидемиологической обстановки в Норильском промышленном районе.
Источники:
Архив УВД Красноярского края, отдел спецфондов, оп. 1с, д. 104, л.7,30; оп. 3, д 69, л. 25-270; оп. 5, д. 4, л. 8; оп. 7, д. 5, л. 137-139; оп. 184, д. 1, л. 58-61.
Там же, отдел спецфондов, оп. 1, д. 40, л. 75; оп. 1, д. 41, л. 81.
Там же, отдел спецфондов, ф. 11, оп. 1с, д. 79, л. 45.
Там же, отдел спецфондов, оп. 17, д. 1, л. 59.
А.Кокурин, Ю. Моруков — ГУЛАГ: структура и кадры //Свободная мысль — 2000-№10-с.113-119.
Архив УВД Красноярского края, отдел спецфондов, оп. 184, д. 1, л. 20-50.
А.Кокурин, Ю. Моруков — ГУЛАГ: структура и кадры //Свободная мысль — 2000-№10-с.116.
Архив УВД Красноярского края, отдел спецфондов, оп. 184, д. 1, л. 20-50.
Архив УВД Красноярского края, отдел спецфондов, оп. 21, д. 15, л. 33.
Архив УВД Красноярского края, отдел спецфондов, оп. 3, д. 22, л. 20.
А.Кокурин, Ю. Моруков — ГУЛАГ: структура и кадры //Свободная мысль — 2000-№10-с.118. см. также: Исупов В. На изломе: смертность населения Сибири в начале Великой Отечественной войны //Историческая демография Сибири — Новосибирск: Наука, 1992-с.186-200.
Архив Красноярского общества “Мемориал”, фонд Норильлага.
Архив УВД Красноярского края, отдел спецфондов, оп. 3, д. 14, л. 2-8, 108-110, 112-114, 135-136, 147-148, 154-155, 173-174, 198-199, 201, 203-205 (Переписка по ВМН за 1943 год).
Там же, отдел спецфондов, оп. 1с, д. 45, л. 31-39; д. 292, л. 171-179; оп. 21, д. 15, л. 34.
А.Кокурин, Ю. Моруков ГУЛАГ: структура и кадры //Свободная мысль — 2000-№10-с.118. Система исправительно-трудовых лагерей в СССР, 1923 — 1960: Справочник. — М.:Звенья, 1998-с.53,205.
"Норильская голгофа". Издательством «Кларетианум», Красноярск, 2002.